营业执照 (Certificate of Incorporation)
中国大陆地区客户 (Business registered in Mainland China)
需提供贵公司营业执照彩色影像件,并需满足以下要求:
- 请确保贵公司处于存续状态,您可以在国家企业信用信息公示系统查询(国家企业信用信息公示系统查询网址)
- 请确保贵公司营业执照在有效期内。
查看示意:
统一社会信用代码一般会在营业执照的左右角标示 (见红框)

其中,公司类型的选择需与营业执照的公司类型匹配,匹配关系如下:
中国企业类型映射关系表 | |
营业执照类型 | 公司类型输入选择 |
类型含有“个体”字段 | 个体工商户 |
类型含有“合伙”字段 | 合伙制企业 |
类型含有“公司”字段 | 普通公司 |
中国香港地区客户 (Business registered in Hong Kong, China)
如果您是一家注册地在香港的公司,根据贵公司的法律形式和香港商业登记要求,您需要提供的注册文件有所差异。
Sole proprietorship 独资企业,请提供以下文件:
- Business Registration Certificate 商业登记证 (类似附件样例 📎hk_br_sample.pdf)
- Tax document BIR60 Form 税务文件BIR60表格 (类似附件样例📎hk_BIR60_sample.pdf)
- Company Change Letter 公司变更书(类似附件样例📎Company Change Letter.png)
Limited Company 有限公司,请提供以下文件:
- Business Registration Certificate 商业登记证
- NAR1 Form 周年申报表 (类似附件样例📎hk_NAR1_sample.pdf)
- Company Change Letter 公司变更书(类似附件样例📎Company Change Letter.png)
- Certificate of Incorporation 注册证书 ,样例如下:
证书编号会在左上方标示(见红框)

Partnership 合伙企业,请提供以下文件:
- Business Registration Certificate 商业登记证
- Partnership agreement/deed 合伙协议/契约
Business registered in the UK
Please provide the company's Certificate of Incorporation (Up to date trade registry extract or equivalent) and Articles of Incorporation.
The contents of the Trade Register are regulated by the relevant jurisdiction's law. Registered entries of different company types are defined by the legislation concerning the Trade Register, company types and business activities in general. Examples of such legislation are the Limited Liability Companies Act, the Partnerships Act, and the Restructuring of Enterprises Act.
Normally, at least the following information is registered for each company type:
- company name
- domicile
- line of business
- who represent(s) the company
- address
- registration number
- date of incorporation
- if the company is active
UK trade register
The Company no. can be found in the center of the document (refer to red box below)

Website: https://www.gov.uk/government/organisations/companies-house
Business registered in Southeast Asia
Please provide the Company's Certificate of Incorporation and other official documents evidencing ownership/directorship (or equivalent).
The contents of the Trade Register are regulated by the relevant jurisdiction's law. Registered entries of different company types are defined by the legislation concerning the Trade Register, company types and business activities in general.
Normally, at least the following information is registered for each company type:
- company name
- domicile
- line of business
- who represent(s) the company
- address
- registration number
- date of incorporation
- if the company is active
The Company no. can be found at the top of the document (refer to red box below)
Countries | Sample |
Singapore |
|
Malaysia |
|
Vietnam |
|
Thailand |
|
Indonesia |
|
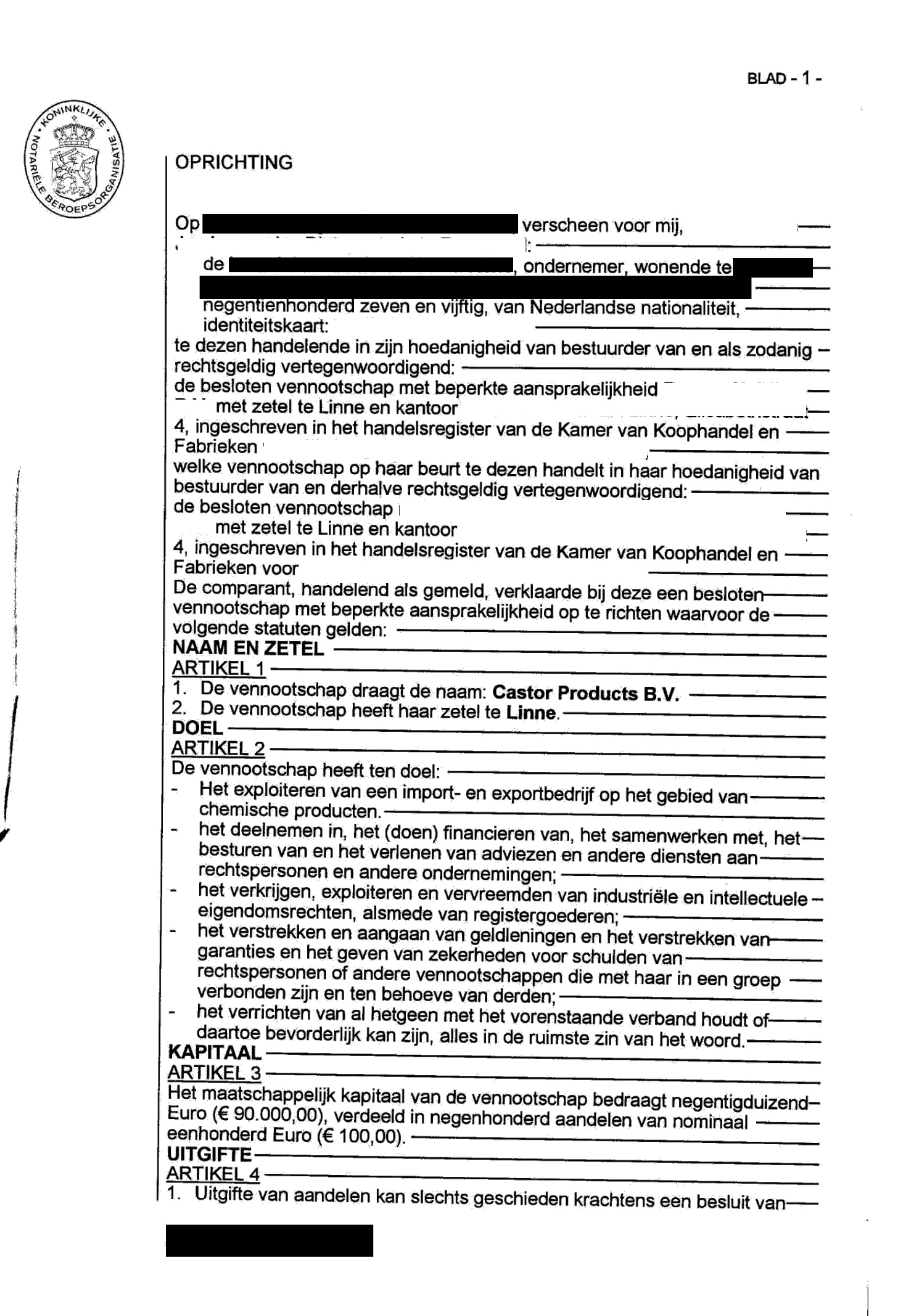
Business registered in Europe
Clients will be asked to provide the Company's Certificate of Incorporation and Articles of Association evidencing ownership/directorship (or equivalent).
1. Certificate of Incorporation
The information in the documents must contain the following information:
- The entity's basic information (Legal Form, Full Legal Name, Registration Number, Date of Registration, Registration Address); AND
- The entity's current full list of directors/partners/managers as per above official corporate documents; AND
- The entity's ownership breakdown as per above official corporate documents. If there are multiple layers in the ownership, it may be necessary to upload several documents to show the ownership breakdown of the subsequent layers of ownership.
Acceptable equivalent documents include:
- latest business profile record with the company registry,
- official tax filing document, and
- list of authorized persons registered with official authorities / company registry.
Countries | Sample |
France | |
Italy |
|
Spain |
|
Netherlands |
|
Poland |
|
2. Articles of Association
Reference on information required to be seen on articles of association:
https://www.business-in-a-box.com/template/articles-of-incorporation-D998/
Countries | Sample |
Germany |
|
France |
|
Netherlands |
|
Poland |
|






















